發表時間: 2024-06-25 15:03:23
作者: 石油化工設備維護與檢修網
瀏覽: 2550
為了及時全面地反映我國煉油與石化工業最新技術發展,集中展現我國煉油與石化技術成果,進一步加快我國石化工業技術可持續發展步伐,提升工藝技術與設備管理水平,促進我國煉化工業可持續發展。石化緣自2019年已連續舉行新技術發布活動五年,獲得了業內專家一致好評!2024年我們將繼續從6月第一個工作日開始,系列推出一年一度石油化工行業新技術,讓業內第一時間了解我國石油化工領域新技術、新工藝、新材料、新設備,促進合作交流!
一、技術名稱:烯烴羰基合成平臺技術
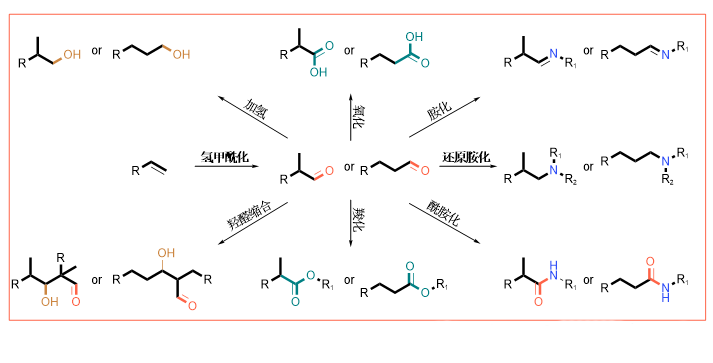
羰基合成是在有機化合物分子內引入含氧官能團的一類重要反應,結合氧化、加氫、胺化等技術,可生產幾十種含氧(氮)的化學品及高分子材料單體。烯烴羰基合成技術可實現石油化工和煤化工企業烯烴資源的高附加值轉化,優化產業結構,延伸產業鏈,提升價值鏈,助力煉化煤化工企業綠色低碳轉型升級。

中海油天津化工研究設計院有限公司(以下簡稱天津院)經過十余年潛心研究,開發了綠色高效烯烴羰基合成平臺技術,通過烯烴與合成氣在催化劑作用下生成增加一個碳原子的有機醛,其中有機醛的正異比0.1~30可調。耦合自主開發的選擇性加氫、緩和氧化、連續酯化、還原胺化及羥醛縮合等技術,可實現α-烯烴、內烯烴、支鏈烯烴等各種類型烯烴生產高附加值化合物。

典型的工藝路線
二、先進性闡述
羰基合成平臺技術包括原料精制技術、催化劑及配體、工藝包、專有設備,羰基合成平臺技術已獲國家授權發明專利50余項。
(1)反應效率高,條件緩和
● 核心工藝羰基合成使用銠及新型膦配體作為催化劑,具有銠濃度低、高活性、高選擇性、反應條件溫和的優點;
● 加氫工藝采用自主研發的低溫加氫催化劑、氧化工藝采用復配高效均相催化劑、連續酯化及羥醛縮合工藝采用自主研發的樹脂催化劑、胺化工藝采用非貴金屬加氫胺化催化劑,該類配套工藝具有反應原子經濟性高、副產物少、反應條件溫和、運行成本低等特點;
● 具有較強機理研究及工藝研究基礎,并深入研究了不同工藝間的協同作用,對成套平臺技術工藝進行整體優化,降低投資及運營成本,踐行綠色低碳生產理念。
(2)原料范圍廣,適用性強
通過調整催化體系與工藝流程,煉化與煤化工產出的不同鏈長的α-烯烴、內烯烴、支鏈烯烴等均可作為反應原料用于生產高值含氧(氮)化學品。
(3)產品范圍廣,附加值高
羰基合成平臺技術的產品為有機醇/酸/酯/胺類含氧(氮)化學品,進一步可轉化為增塑劑、洗滌劑、冷凍機油、香精香料、樹脂、水性涂料、染料、醫藥中間體等,貼近終端市場,市場需求量大,產品范圍廣、附加值高。
三、工業業績
羰基合成技術已完成多套技術轉讓。
(1)原料精制技術:已為多家企業提供烯烴、合成氣原料凈化方案,其中脫氧劑占據國內70%以上的市場份額。
(2)羰基合成銠催化劑:已在國能包頭煤化工、天津渤化以及魯南化工等工業裝置成功應用5年以上,應用效果良好。
(3)醛加氫催化劑:已在多家企業應用。
四、案例分享
案例一:丙烯羰基合成高值化/差異化利用
通過組合平臺技術,利用丙烯生產丁辛醇、異辛酸、正丁酸和特種酯等高附加值產品,完善丙烯羰基合成產業鏈,提升了丙烯羰基合成產業鏈價值與抗風險能力。

丙烯羰基合成技術路線
1、丁辛醇
丙烯生產丁辛醇技術以自主開發的凈化劑、羰基合成銠催化劑、加氫催化劑為核心,采用丙烯羰基合成工藝、羥醛縮合工藝和醛加氫工藝生產丁辛醇。核心產品為丁辛醇,中間產品為正異丁醛,比例可調,正異比最高可達30以上,可根據市場情況靈活調整產品方案。
2、正丁酸和異辛酸(2-乙基己酸)
以丙烯為原料,采用新型催化體系及工藝條件,可高選擇性生產正丁醛。集成配套的羥醛縮合及選擇性加氫及氧化技術,可實現正丁醛氧化制備正丁酸或經羥醛縮合、選擇性加氫與氧化工藝生產異辛酸(2-乙基己酸)的工藝路線。
3、特種酯
采用丙烯為原料,結合羰基合成、縮合、選擇性加氫、氧化和酯化等工藝,可高選擇性制備各類特種酯。特種酯產品廣泛應用于環保增塑劑及特種潤滑油酯領域,附加值高。
案例二:丙烯羰基合成成套技術生產1,4-丁二醇(BDO)聯產乙醇
基于丙烯和乙酸高值化利用的需求,開發丙烯羰基合成生產BDO聯產乙醇技術。本技術以自主開發的氧化催化劑、中壓羰基合成催化劑、加氫催化劑為核心,采用丙烯乙酸氧化、羰基合成和酯加氫工藝生產BDO聯產乙醇。技術主要原料來源廣泛,烯烴轉化率高,產品純度好,副產品附加值高。本技術具有能耗低、綠色環保、加工方案靈活性強的優勢,通過聯產乙醇可進一步提高技術經濟效益。

丙烯制BDO工藝路線
案例三:混合碳四羰基合成高值化利用
石油化工與煤化工副產碳四原料中包含正丁烯和異丁烯,傳統的羰基合成技術主要利用正丁烯生產2-PH與異壬醇。通過組合平臺技術,成功開發出異丁烯的羰基合成高值利用技術,以混合碳四中的異丁烯為原料,高效生產異戊酸和異壬酸。

碳四綜合利用工藝路線
1、異戊酸
采用新型催化體系及工藝條件,異丁烯可經過羰基合成高選擇性生產異戊醛,集成配套的選擇性氧化技術,可實現高純異戊酸的生產。
2、異壬酸
分離混合碳四得到的高純異丁烯還可用于生產異壬酸。該技術路線主要通過疊合、羰基合成以及選擇性氧化等技術耦合,將異丁烯高選擇性轉化為異壬酸。
3、2-丙基庚醇(2-PH)
丁烯生產2-丙基庚醇(2-PH)技術,以羰基合成催化劑、液相加氫催化劑為核心,采用混合C4羰基合成工藝、羥醛縮合工藝和醛加氫工藝生產增塑劑原料2-PH。該技術適用原料來源廣泛,戊醛正異比高,不需單獨分離即可進行羥醛縮合反應,C10醇純度高(大于99.5%),其中2-PH含量大于90.0wt%。
案例四:高碳烯烴羰基合成高值化利用技術
基于高碳烯烴高值化利用、增塑劑醇和洗滌劑醇的需求,該技術以自主開發的羰基合成催化劑、加氫催化劑為核心,采用混合高碳烯烴烷烴羰基合成工藝和醛加氫工藝生產增塑劑原料高碳醇。
五、技術前景
羰基合成平臺技術屬于烯烴綠色高效利用技術,可實現烯烴的平臺化高效轉化利用,產品為有機醇/酸/酯/胺等含氧(氮)化學品,附加值高。羰基合成平臺技術符合國家雙碳和高質量發展目標,契合煉廠與煤化工企業轉型升級、減油增化的發展趨勢,具有廣闊的市場應用前景。
六、關于中海油天津化工研究設計院有限公司
中海油天津化工研究設計院有限公司(原化學工業部天津化工研究院)創建于1958年,是原化學工業部直屬的專業從事工業水處理、無機鹽和催化劑載體研究的中央級綜合性研究院。2000年根據國家深化科技體制改革的要求,轉制為國有科技型企業,2006年并入中國海洋石油集團有限公司。主要從事水資源化利用、催化劑和化工工藝、先進功能材料三大領域的科技開發及產業化研究,同時承擔防爆電氣產品檢驗檢測、環境與安全咨詢評價、清潔生產審核、國家及行業標準制修訂、科技信息、工程咨詢、工程設計及工程總包等專業化服務,是一家集研究開發、行業服務和高新技術產業化為一體的綜合型研究院、國家高新技術企業。
天津院現有正式員工636人(工程技術人員占72%以上),其中正高級工程師24人,高級工程師265人;碩士以上學歷270人;天津市授銜專家1人,天津市“131”創新型人才28名,天津市“131”創新型團隊2個,6人享受“國務院政府特貼”,設有博士后工作站。
天津院擁有先進的科研設備和裝備,近年來科技平臺建設累計投資超過2億元。擁有原子吸收光譜、6站比表面測定儀、氣相色譜儀、ICP、熱分析儀、X-光衍射儀、X-光熒光光譜儀、激光粒度儀、化學吸附儀、掃描電鏡、透射電鏡、核磁共振等數十套進口大型分析表征儀器;同時還擁有多功能循環冷卻水動態模擬實驗裝置、工業廢水處理聯合實驗裝置等完善的評價裝置。
天津院建院60多年來,獲得各類省部級及以上科技獎勵229項,包括國家科技進步特等獎1項,一等獎1項,二等獎5項;獲得授權專利750余件,制修訂現行國行標數量為800余項,其中國家標準382項,團體標準21項。
天津院歷來高度重視創新能力建設和高科技成果的產業化,在推動經濟結構調整升級、促進行業科技進步的同時,實現自身發展。目前,已擁有國家工業水處理工程技術研究中心、國家工業水處理工程技術推廣中心、石化工業水處理國家工程實驗室、面向工業催化領域創新成果產業化公共服務平臺、石油和化工行業綠色催化材料工程中心、天津市煉化催化技術工程中心、天津市催化材料工程研究中心、中海油分子工程與海洋油氣資源利用實驗室等10多個國家級中心和實驗室。出版國內外公開發行中文核心期刊《工業水處理》和《無機鹽工業》,英文期刊《Environmental Functional Materials》。
展望未來,到2025年,天津院在水資源生態利用、煉油與化工工藝和先進材料等領域開發多項具有國際領先的高水平技術,初步建成專業特點突出的國際一流化工研究院。到2030年,天津院將成為具有一流人才、一流設備、一流管理、一流成果的綜合科技創新平臺,全面建成專業特點突出的國際一流研究院。