
摘要:隨著國內經濟的發展,煉化企業生產規模不斷擴大,對配電系統的可靠穩定運行提出了更高的要求。對于配電設備,傳統的定期檢修、事后檢修的工作模式已經難以滿足需求。隨著人工智能技術與計算機技術的不斷發展,狀態檢修在未來必將取代傳統檢修。對配電設備狀態檢修決策技術進行了深入研究,開發了狀態檢修決策系統并進行了應用。該系統根據設備實際運行狀況進行運行性能評估,并依據評估結果給出檢修決策建議,以便合理安排檢修計劃,使設備安全、高效運行。該系統的應用為配電設備檢修的科學決策和人力資源的合理分配提供了技術支持,使企業配電系統的管理更高效、更科學。
關鍵詞:煉化企業 配電設備 狀態檢修 決策系統 時間模型 故障率 可靠度 最小成本
隨著科技的發展,各類先進的電氣設備在煉化企業的應用越來越廣泛,大幅提高了煉化企業的生產效率,但是依然存在一些問題需要正視。電氣設備故障頻發,傳統的檢修方式已經不能滿足當前運行和維護的需求。近年來,電氣設備質量的不斷提高為狀態檢修的開展提供了技術支撐[1],同時保證配電系統和電氣設備的安全穩定運行也是建設一流煉化企業的必然要求,相信在不久的將來,狀態檢修必將取代定期檢修。
1 狀態檢修的研究意義
長久以來,國內石化行業配電設備檢修時多采用定期檢修。對于配電設備而言,每年需要進行一次小檢修,運行超過5 a的,則要進行一次大檢修,在此基礎上,每10 a進行一次系統大檢修[2]。圖1為設備定期檢修時間模型,Tp表示常規檢修平均時間,h;T1表示常規檢修完成至發生故障時設備運行時間,h;Tc表示設備出現故障時所需要的故障檢修平均時間,h;T2表示故障檢修完成至下次常規檢修時設備運行時間,h。定期檢修能夠降低設備故障率,減少設備故障時間,延長設備使用周期。如果采用定期檢修,需要檢修人員每隔一段時間進行一次維護工作,這有一個弊端,就是可能會導致檢修過度,增加企業檢修成本。

圖1 設備定期檢修時間模型
據調查,2011年到2016年國內石化行業配電設備平均故障率高達350次/a。雖然近些年投入了大量資金,投用了大量智能化、自動化水平較高的新設備,但設備故障率依然居高不下,這從側面反映出定期檢修還存在一些問題,因此需要找到新的檢修方法來代替定期檢修模式。狀態檢修能夠在發生故障前及時找到劣化部位,可以避免設備維修時對正常零部件的拆卸,能夠有效延長設備壽命,提高使用效率,降低企業維修成本[3]。圖2為設備狀態檢修時間模型。

圖2 設備狀態檢修時間模型
綜上所述,定期檢修容易出現“檢修過度”和“檢修不足”的情況,只靠定期進行的人力檢修無法滿足現階段的設備維護需求。狀態檢修能夠準確反映配電設備的運行狀態,可以降低設備故障率,提高配電可靠性,降低成本,克服了盲目維修的問題,所以研究配電設備狀態檢修技術具有非常重要的意義[4]。
2 配電設備狀態檢修模型建立
2.1 配電設備狀態檢修基礎理論
判斷設備性能的依據取決于質量指標,一般有性能指標與可靠性指標兩種[5]。其中,性能指標是在設備正常工作時能夠達到的功能要求,運行時間不會對其產生影響;可靠性指標是在設備安全運行時能夠達到的功能要求,運行時間會對其產生直接影響。
設備可靠度用可靠函數表示,指設備可以安全、穩定運行到特定時間t的概率,用R(t)表示,見式(1)。
R(t)=P(E)=P(T>t)
(1)
式中,P為概率;P(E)為產品在規定條件下和規定時間內完成規定功能的概率; T為設備壽命,h。如果R(t)為0.8,則代表在規定時間內,10臺設備正常運行時,有2臺設備因故障無法繼續正常運行。所以在制定設備檢修計劃時,要考慮設備的可靠性問題。
設備不可靠度與可靠度互為相反,不可靠函數也稱為累積故障分布函數,是設備在時間t內出現故障的概率,用F(t)表示,見式(2)。
F(t)=1-R(t)
(2)
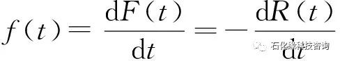
對F(t)求時間t的導數,得到故障率密度函數f(t),見式(3)。

(3)
設備故障率是設備運行一段時間t后,設備在單位時間內發生故障的概率,前提是設備需要安全、可靠運行至t時刻,用λ(t)表示。設備故障率屬于一種條件概率,見式(4)。

(4)
設備故障率可以真實反映設備運行的實際狀態,是分析設備可靠性的主要參數之一。通常來說,根據設備維修次數、歷史故障信息、運行狀態、監測數據等能夠計算出設備故障率。在工作時掌握設備的故障率,可以為檢修工作提供技術支持,及時采取有效的檢修措施,最大限度降低設備故障率。設備故障率還可用式(5)表示。
P(t
(5)
當設備正常運行至t時刻后,在Δt時刻所出現的設備故障率見式(6)。

(6)
設備平均壽命E(T)是設備安全運行的時間,分為兩種形式。發生故障后,如果設備在維修后能夠正常使用,則稱為平均無故障運行時間;如果設備無法通過維修恢復到其原有的工作狀態,則稱為平均失效時間。基于這兩種情況,如果已知故障率密度函數,則設備平均壽命可用式(7)表示。
E(T)=
tf(t)dt
(7)
2.2 常用的故障率模型
建立設備故障率模型時,一般采用正態分布、威布爾分布、指數分布等方法[6]。威布爾分布適用于運行時間對設備故障率有影響的變化,指數分布多用于運行時間與故障率不存在線性關系的設備。威布爾分布是目前使用最普遍的方法[7],對設備進行研究時,運行時間與故障率有密切的關系,設備故障浴盆曲線見圖3。

圖3 設備故障浴盆曲線
第一階段為早期故障段。由于設備制造中存在缺陷或者調試時存在干擾因素,在投入運行初期設備經常會出現故障,隨著設備的不斷磨合,故障率會逐漸降低,設備開始進入穩定期。在此階段,需要對設備進行試運行,試運行一段時間后,如果設備依然不能正常運行,就會遭到淘汰,避免后期投入運行時出現嚴重后果。
第二階段為偶然故障段。在此階段,設備會逐步趨于穩定運行,不再頻繁發生故障。在此期間出現的故障一般是由外界不利因素導致的,包括人為誤操作等。在設備運行期間要對其進行定期維護,明確設備運行狀態,延長設備使用周期,減少故障的發生。
第三階段為損耗故障段。長時間運行后,設備各部件會出現明顯的老化、磨損等現象,導致設備性能下降,影響運行效率,增加故障發生頻率,長久之后,設備會報廢失效。在此階段,要適當增加維修次數,減少故障的發生概率,最大限度延長設備使用周期。
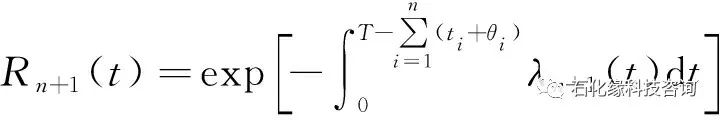
2.3 可靠度約束
設備實際運行時,確保設備在檢修期間可靠是十分必要的,所以建立模型時要充分考慮這一點。配電設備在檢修期間的可靠度見式(8)。經過n個檢修周期后,設備可靠度見式(9)。


(8)


(9)
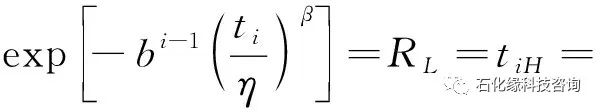
式中,b為故障率遞增因子;η為威布爾分布曲線擬合的尺度參數;β為威布爾分布曲線擬合的形狀參數;θi為第i次預防性檢修的時間變量。
將設備可靠度下限設為RL,則

其中,設備的運行時間與維護時間是根據設備在過去5 a內的故障數據獲得的,一般設置為0.7≤RL


(10)
2.4 配電設備狀態檢修模型建立
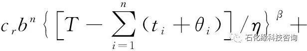
將可靠度約束條件應用到最小成本數學模型中,建立了最小成本模型,見式(11)。約束條件:

或0



(11)
式中,C為研究周期內設備檢修總費用,萬元;cr為設備故障后維修該設備的成本,萬元;cm為一次檢修所需的成本函數,萬元;cd為因設備檢修造成的間接損失,萬元。
2.5 配電設備運行總風險
配電設備實際運行時,設備故障與檢修相互對立,增加檢修次數雖然能夠降低設備故障率,但也可能帶來檢修風險;檢修不足雖然能夠降低檢修風險,但可能會使設備出現更大故障。為了協調二者的矛盾,需要找到平衡點,設故障風險為RF,檢修風險為RM,配電設備運行總風險為R,建立決策優化模型,見式(12)。
R=RF+RM
(12)
在進行風險決策時,如果僅解決單一風險指標,會使決策缺乏全面性,所以要將設備檢修收益與配電設備運行總風險相結合,建立優化模型,對二者同時制約,用最小的風險換取最大的效益。優化模型見式(13)。

(13)
式中,ω1與ω2表示權重,且ω1+ω2=1,v表示檢修收益,萬元。
3 配電設備狀態檢修決策系統開發
3.1 系統設計
配電設備狀態檢修決策系統采用C/S架構,也就是用戶端與服務器結構,這種模式結構在處理數據時效率更高。具體來說,系統采用C/S 3層架構模式(見圖4),其中表示層主要包括用戶登錄、配電檢修部門設置、配電設備信息管理、配電設備檢修日程顯示等功能;業務邏輯層包括對設備故障率進行預測、根據要求制定狀態檢修計劃、確定檢修間隔時間等功能;數據訪問層包括臺賬數據訪問、可靠性分析數據訪問和檢修計劃數據訪問等功能,主要接受業務邏輯層的指令,同時與數據庫建立關系模型;數據庫的主要功能是存儲系統中所需要的數據,包括系統信息、設備臺賬信息、失效數據和費用數據等。

圖4 配電設備狀態檢修決策系統架構
3.2 系統功能開發及應用
為此,工程項目劃分必須堅持由項目法人組織監理、設計及施工等單位進行,并確定主要單位工程、主要分部工程、重要隱蔽單元工程和關鍵部位單元工程。項目法人在主體工程開工前將項目劃分表及說明書面報相應質量監督機構確認。工程實施過程中,需對單位工程、主要分部工程、重要隱蔽單元工程和關鍵部位單元工程的項目劃分進行調整時,項目法人要重新報送工程質量監督機構進行確認。
該決策系統功能主要包括4個方面的內容。
(1)狀態檢修決策系統管理。根據系統設計需求,在系統開發過程中將用戶設定為3級:高級管理員、管理員、檢修人員。高級管理員負責檢修人員管理、設備信息統一管理和審核、大型巡檢任務審核管理等;管理員主要負責檢修人員信息管理、配電設備臺賬信息管理、狀態檢修計劃制定和下發、配電設備故障率預測等;檢修人員主要負責執行狀態檢修計劃和記錄檢修情況等。
(2)配電設備臺賬信息管理。該功能包含配電設備各類信息的管理。
(3)配電設備的可靠性分析。該功能即故障率預測,主要是管理員執行。管理員根據配電設備當前的狀態檢測數據、歷史故障數據和設定的可靠性指標,對設備進行故障率預測。該系統同時具有配電設備狀態評價功能。
(4)狀態檢修計劃制定。根據配電設備可靠性分析結果,輸入檢修模型所需要的參數,運行軟件程序,得出設備一個大檢修周期內的檢修計劃和所需要的檢修成本,為管理員的檢修決策提供數據支持。
某煉化企業對加氫裝置的某臺電機(額定功率220 kW、額定電流26.2 A)應用了該狀態檢修決策系統。利用振動傳感器測量電機的振動值,進行實時頻譜分析,記錄振動信號波形,繪制軸心軌跡圖。利用溫度傳感器對電機軸承溫度進行在線采集,繪制溫度曲線。將現場測量和記錄的數據及振動信號波形輸入該系統,計算機根據在線數據結合專用模型對電機的運行狀態進行診斷,并給出檢修的預測判斷。該電機的部分運行狀態數據見表1。
表1 某電機部分運行狀態數據

由表1可知,2021年6月12日之前,該電機運行狀態一直良好。6月12日電機振動值變大,至當日11∶20系統發出預警,提示工程師需要到現場查看電機運行情況,工程師現場查看發現該電機運行聲音正常,判斷電機可以繼續運行,未對電機進行處理。6月18日05∶25系統發出報警,工程師至現場查看發現電機有雜音出現,通知生產操作工進行切泵處理,由于該電機切泵操作較多,至當日10∶33電機停機,停機前電機振動值及軸承狀態值持續升高。電機檢修發現前軸外圈彈道有剝落、一個滾珠有剝落,后軸正常。該電機檢修情況充分驗證了該狀態檢修決策系統對電機狀態預判的正確性。
4 結束語
對配電設備狀態檢修決策技術及系統進行了具體研究。該系統依據狀態監測和診斷技術檢測電氣設備的運行參數,通過對監測數據的整合和分析來評估設備運行狀態,制定檢修策略,保證電氣設備及整個系統的安全、穩定運行。狀態檢修融入了先進的監測技術、自動控制技術和人工智能等優化控制方法,是一個綜合性的決策過程,以電氣設備的實際運行狀態為依據,通過在線監測裝置傳輸的實時數據和定期檢查的歷史數據等信息,采用可靠性評價和壽命預測對設備進行狀態評價,判斷設備的異常程度,同時預測狀態的發展趨勢以及故障率,將試驗人員從繁雜的數據統計、分析評價工作中解脫出來,可以更高效、更科學地開展工作。對于性能明顯下降的配電設備,給出合理的檢修計劃建議,綜合考慮經濟性和風險性等因素,以便管理人員合理地規劃檢修工作。配電設備狀態檢修決策系統的應用降低了設備的故障率,減少了故障維修費用及停電損失,保障了企業配電系統的安全、穩定運行,提高了企業的經濟效益。











